HP 3000 Manuals

Program Heading [ HP Pascal/iX Reference Manual ] MPE/iX 5.0 Documentation


HP Pascal/iX Reference Manual

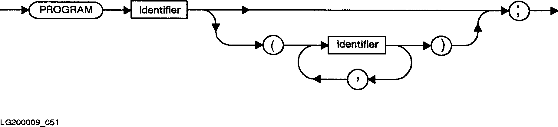
Program Heading 

The program heading consists of the reserved word PROGRAM, an identifier
that specifies the program name and an optional parameter list.  The
program block consists of the declaration part and the statement or
statements.

The identifiers in the parameter list are variables that must be declared
in the outer block, except for the standard textfiles input and output. 

Input and output are standard file variables that the system associates
by default with system dependent files.  These files are opened
automatically at the beginning of program execution.  Input or output 
need only appear as program parameters if some file operation (for
example, read or write) refers to them explicitly or by default.

Program parameters are usually the names of file variables.  The
association between logical and physical files is system-dependent.  The
association between formal and actual program parameters is also
system-dependent.

The program block consists of an optional declaration part and a required
statement part.

Syntax 

     Program_heading:

[]


MPE/iX 5.0 Documentation