HP 3000 Manuals

PARAMETER Statement (Nonexecutable) [ HP FORTRAN 77/iX Reference ] MPE/iX 5.0 Documentation


HP FORTRAN 77/iX Reference

PARAMETER Statement (Nonexecutable) 

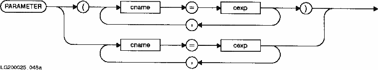
The PARAMETER statement defines named constants.  After a name is defined
in a PARAMETER statement, subsequent uses of the name are treated as if
the value of the constant was used.

[]
----------------------------------------------------------------------------------------------- | | | | | Item | Description/Default | Restrictions | | | | | ----------------------------------------------------------------------------------------------- | | | | | cname | Symbolic name that represents a | Name cannot appear in any | | | constant. | statement before PARAMETER, except | | | | a type statement. | | | | | ----------------------------------------------------------------------------------------------- | | | | | cexp | Constant expression or intrinsic | If cexp is an intrinsic function, | | | function. | its arguments must be constants. | | | | | ----------------------------------------------------------------------------------------------- PARAMETER statements must precede any statement function and executable statements in a program unit. If the symbolic name cname is an integer, real, complex, or logical data type, the corresponding expression cexp must be an arithmetic or logical constant expression. If the symbolic name cname is a character data type, the corresponding expression cexp must be a character constant expression. As an extension to the ANSI 77 standard, the following FORTRAN intrinsics can be used in cexp. When used in cexp, these intrinsics must have constant arguments and the type of their return value must be the same as that of cname. ABS IAND MAX CHAR ICHAR MIN CMPLX IMAG MOD CONJG IOR NOT DCMPLX ISHFT SIGN DIM IXOR Each cname is the symbolic name of a constant that is defined with the value of the expression cexp appearing to the right of the equal sign, in accordance with the rules for assignment statements. Any symbolic name of a constant that appears in an expression cexp must have been defined previously in the same or a different PARAMETER statement in the same program unit. A symbolic name of a constant must not be defined more than once in a program unit. If a symbolic name of a constant is not of the default implied type, its type must be specified by a type statement or IMPLICIT statement prior to its first appearance in a PARAMETER statement. If the length specified for the symbolic name of a constant of type character is not the default length of one, its length must be specified in a type statement or IMPLICIT statement prior to the first appearance of the symbolic name of the constant. Its type and length must not be changed by subsequent statements, including IMPLICIT statements. If a symbolic name of type CHARACTER*(*) is defined in a PARAMETER statement, its length is the length of the expression assigned to it. Once such a symbolic name is defined, that name can appear in any subsequent statement of the defining program unit as a constant in an expression or DATA statement. A symbolic name of a constant must not be part of a format specification. A symbolic name in a PARAMETER statement can identify only the corresponding constant in that program unit. Examples Notes -------------------------------------------------------------------------------------- PARAMETER (minval=-10,maxval=50) PARAMETER (debug=.TRUE.) PARAMETER (file='WELCOM') INTEGER lower,upper PARAMETER (lower=0, upper=7) DIMENSION a (lower:upper) DO 10 i=lower,upper a (i) = 1.0 10 CONTINUE PARAMETER (pi=3.14159) radius = diameter/2 area = pi *(radius**2) CHARACTER bell CHAR in constant expression. PARAMETER (bell = CHAR(7)) INTEGER case_shift ICHAR in constant expression. PARAMETER (case_shift = ICHAR('a') - ICHAR('A')) COMPLEX complex_two Arithmetic conversion performed. PARAMETER (complex_two = 2) PARAMETER (limit = 1000) Legal use of previously defined PARAMETER (limit_plus_1 = limit+1) name. Example The following program: PROGRAM parameters LOGICAL first_name_greater, scnd_name_greater CHARACTER ch*(*), name1*(*), name2*(*) INTEGER length PARAMETER (ch = 'Guess my length') PARAMETER (name1 = 'William', + name2 = 'David') PARAMETER (length = LEN(ch)) C Either form of lexical compare is allowed in PARAMETER PARAMETER (first_name_greater = LGT(name1, name2), + scnd_name_greater = name2 .GT. name1) WRITE (6,10) ch, length IF (first_name_greater) THEN WRITE (6,*) name1, 'is lexically greater than', name2 ELSE IF (scnd_name_greater) THEN WRITE (6,*) name2, 'is lexically greater than', name1 ELSE WRITE (6,*) name1, 'and', name2, 'have the same name' END IF 10 FORMAT (' The length of ''',(A),''' is ',I2) END produces the following output: The length of 'Guess my length' is 15 William is lexically greater than David Alternate PARAMETER Statement (Nonexecutable) An alternate version of the PARAMETER statement is included for compatibility with other versions of FORTRAN. The alternate version differs from the ANSI 77 standard in two ways: * The parameter list is not bounded by parentheses. * The type of the constant cexp determines the type of cname (regardless of explicit or implicit typing). Alternate PARAMETER statements must precede any executable statements in a program unit. The following example illustrates the alternate PARAMETER statement. The output follows the example. Example PROGRAM showpars IMPLICIT INTEGER (i), REAL (r) PARAMETER i1 = 'AB' ! Alternate; i1 is type character PARAMETER (i2 = 2.0) ! Standard; i2 is type integer PARAMETER i3 = 3.0 ! Alternate; i3 is type real PARAMETER r1 = 6 ! Alternate; r1 is type integer PARAMETER (r2 = 6) ! Standard; r2 is type real i4 = 4 ! First executable statement PARAMETER i5 = 5 ! Assignment statement, not PARAMETER ! PARAMETER i5 is a variable WRITE (*,*) i1, i2, i3, i4, i5, PARAMETER i5, r1, r2 END Output: AB 2 3.0 4 0 5.0 6 6.0 Note that PARAMETER i5 in the example above is a variable because it follows an executable statement. (FORTRAN assumes meaning from context and has no reserved words.)


MPE/iX 5.0 Documentation