HP 3000 Manuals

DLOG (or DLOG') or DLOG10 [ Compiler Library/XL Reference Manual ] MPE/iX 5.0 Documentation


Compiler Library/XL Reference Manual

DLOG (or DLOG') or DLOG10 

DLOG calculates the natural logarithm of a positive longreal number;
DLOG10 calculates the base 10 logarithm of a positive longreal number.

Declaration 

FUNCTION DLOG(VAR x:LONGREAL):LONGREAL; EXTERNAL;
                or
 FUNCTION DLOG10(VAR x:LONGREAL):LONGREAL; EXTERNAL;

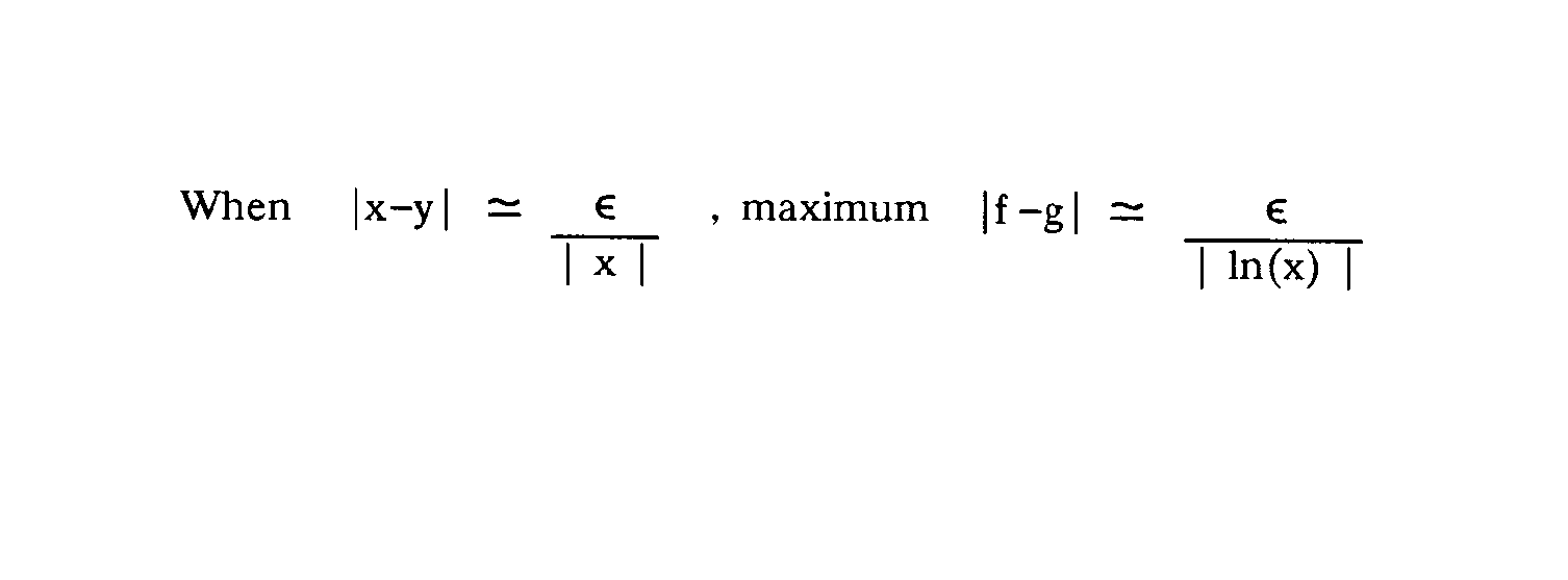
Accuracy 

[]
Attributes Parameter: A representable positive longreal number. See Chapter 1 for details on the internal representation of longreal numbers. Result: A longreal number (DLOG10 = DLOG * log10 (e)). HP FORTRAN 77/XL: Intrinsic function: Y=DLOG(X) or Y=DLOG10(X). Error: If the argument is a NaN or a negative number, there are two possible actions. If the INVALID trap is enabled, the message "DLOG(X): X< 0.0 OR X=NaN" or "DLOG10(X): X <0.0 OR X=NaN" occurs. Otherwise, the INVALID flag is set. In either case, a quiet NaN is returned. Special Values dlog (+Infinity) = +Infinity dlog (0) = -Infinity


MPE/iX 5.0 Documentation