HP 3000 Manuals

COSH (or COSH') [ Compiler Library/XL Reference Manual ] MPE/iX 5.0 Documentation


Compiler Library/XL Reference Manual

COSH (or COSH') 

COSH calculates the hyperbolic cosine of a real number.

Declaration 

     FUNCTION COSH(VAR x:REAL):REAL; EXTERNAL;

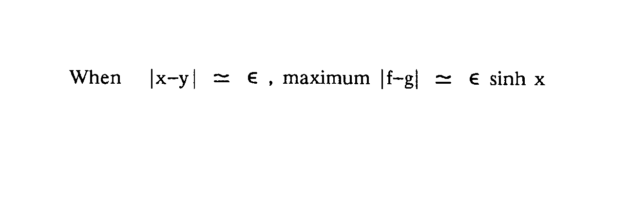
Accuracy 

[]
Attributes Parameter: A real number. Result: A real number. HP FORTRAN 77/XL: Intrinsic function: Y=COSH(X). Error: If the argument is a NaN, there are two possible actions. If the INVALID trap is enabled, the message "COSH(X): X=NaN" occurs. Otherwise, the INVALID flag is set. In either case, a quiet NaN is returned. If ABS(X) is >= 88.7196, the result cannot be represented and the message "COSH(X) OVERFLOW" occurs. See Appendix A for more details.


MPE/iX 5.0 Documentation