HP 3000 Manuals

ATAN2 (or ATAN2') [ Compiler Library/XL Reference Manual ] MPE/iX 5.0 Documentation


Compiler Library/XL Reference Manual

ATAN2 (or ATAN2') 

ATAN2 calculates the arctangent of the quotient of two real numbers.

Declaration 

     FUNCTION ATAN2(VAR x,y:REAL):REAL; EXTERNAL;

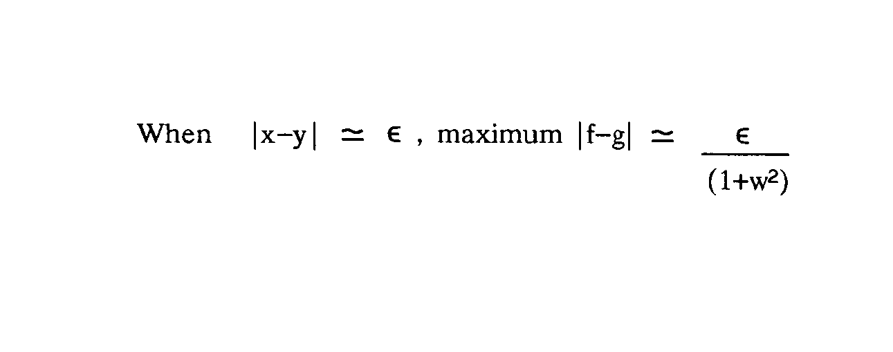
Accuracy 

[]
[]
Attributes Parameters: Real numbers; both must not be zero. Result: A representable real number in one of the following ranges:
[]
See Chapter 1 for details on the internal representation of real numbers. HP FORTRAN 77/XL: Intrinsic function: Z=ATAN2(X,Y) Error: If either of the arguments is a NaN or if both arguments are zero (or Infinity), there are two possible actions. If the INVALID trap is enabled, the message "ATAN2(X,Y): X=Y=0.0 OR X=Y=INFINITY OR ANY OF X AND Y=NaN" occurs. Otherwise, the INVALID flag is set. In either case, a quiet NaN is returned. See Appendix A for more details.


MPE/iX 5.0 Documentation