HP 3000 Manuals

How Are Messages Delivered [ Installing and Configuring HP X.400 Administrator's Guide ] MPE/iX 5.0 Documentation


Installing and Configuring HP X.400 Administrator's Guide

How Are Messages Delivered 

A message may be sent from one MTA to another MTA until the message
reaches the recipient's MTA, which then delivers it to the recipient UA.
Each MTA is responsible for the message until the next MTA acknowledges
receipt of the message.  Once receipt has been confirmed, the next MTA is
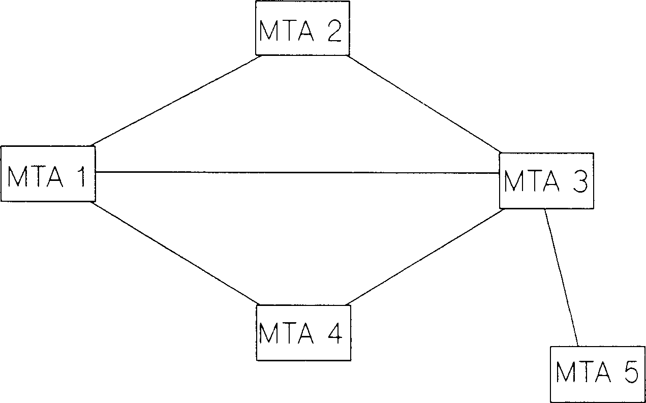
responsible for the safe storageof the message.  Figure 2-2 shows that
MTA 3 is directly connected to each of the other MTAs, but MTA 5 is
directly connected only to MTA 3.  To send a message to any other MTA,
MTA 5 must use MTA 3 as a relay.

[]
Figure 2-2. Message Transfer System Each user is associated with one UA. A user can read, create, edit, and send messages by accessing the MHSthrough the associated UA. Each UA is associated with one MTA. When a user sends a message to another user, the user's UA sends the message to its associated MTA. Multiple MTAsmay be involved in the relaying of the message. When the message arrives at the final MTA, it is delivered to the UA of the recipient user. If a message is to be delivered to multiple recipients, the message is delivered to the MTAs which then perform any duplicating necessary to deliver the message to each of the recipients.
[]
Figure 2-3. MTAs and UAs Figure 2-3 shows that an MTA such as MTA 2 does not need to have a UA or multiple UAsassociated with it. An MTA with no associated UA will only be used for relaying. An MTA such as MTA 3 with associated UAs may or may not perform relaying.


MPE/iX 5.0 Documentation