HP 3000 Manuals

PROCEDURE [ HP Pascal/iX Reference Manual ] MPE/iX 5.0 Documentation


HP Pascal/iX Reference Manual

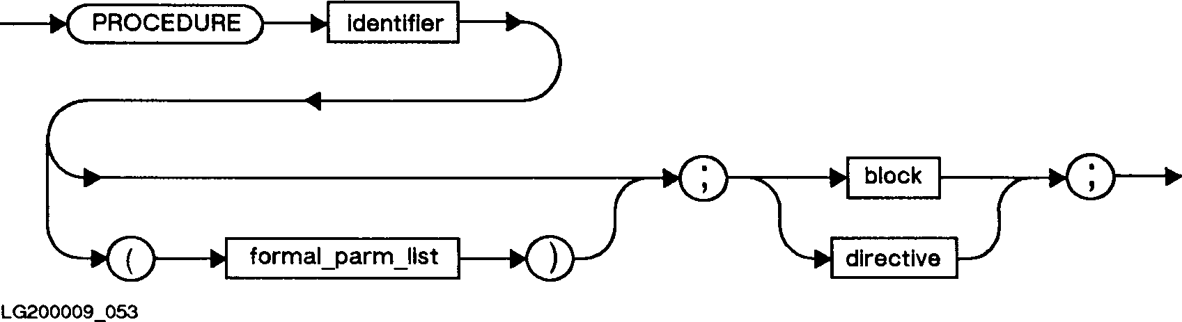
PROCEDURE 

A procedure is a block that is invoked with a PROCEDURE statement.  A
procedure declaration consists of a procedure heading, a semicolon (;),
and a block or a directive followed by a semicolon.

The procedure heading consists of the reserved word PROCEDURE, an
identifier that specifies the procedure name, and optionally, a formal
parameter list.

A directive can replace the procedure block to inform the compiler of the
location of the block.  FORWARD is one of the directives.  Other
directives are implementation dependent.  See the HP Pascal/iX 
Programmer's Guide or the HP Pascal/HP-UX Programmer's Guide, depending
on your implementation, for information on other directives.  A procedure
block consists of an optional declaration part and a compound statement.

Procedure declarations must occur at the end of a declaration part after
label, constant, type, and variable declarations and after the module
declarations in the outer block.  Note that procedure and function
declarations may be intermixed.

Syntax 

Procedure_declaration: 

[]


MPE/iX 5.0 Documentation